GPS误差方程的构成
测量都存在观测误差(Observational Error)。取符号L~ 表示观测值的真值, L 表示观测 值, Δ 表示真误差,则有:L~ = L + Δ
一般说来,观测值的真值(或真误差)是无法确定的。只能根据概率统计的原理对观测 值和未知参数进行估计。取符号Lˆ 表示观测值的估值; v 表示观测值的改正数,则有 Lˆ = L + v

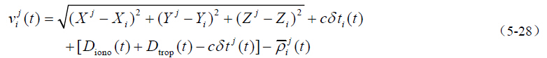
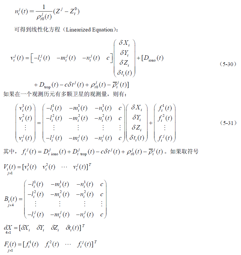
由此,方程(5-25)变为:




尊敬的访客:如果您想了解或购买GPS定位 防盗产品,请点击下方按钮联系我们

您也可以直接拨打客服热线:4007-888-200
推荐阅读:
GPS应用于大型设备的超精密安装
GPS定位技术在精密工程测量中的应用
GPS定位技术在普通工程测量中的应用
GPS技术在工程测量中的应用
GPS定位在大地(控制)测量方面的应用



