精度因子的概念 可视卫星个数及其空间分布对定位精度的影响
前已述及,除了卫星轨道误差、大气折射影响以外,绝对定位的精度还与观测时段可视卫星的数量与空间分布有关。现在就来讨论一下这个问题。
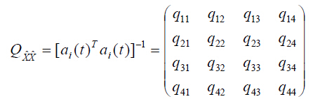
根据概率统计的有关知识,一组随机参数的统计特征可以用相应的协因数阵(Correlation Matrix)来描述。协因数阵也叫相关系数矩阵或相关矩阵,它包含有全部解的精度和相关性 信息,是精度评价的重要依据之一。如果以6.3.1 中测码伪距动态绝对定位为例,则未知参 数的协因数阵为:

式(6-30)描述的是测站坐标在WGS-84 直角坐标系3 个坐标轴方向上的精度信息,有 时根据生产需求,还要给出测站点在水平和垂直方向上的精度。根据大地坐标系与直角坐标 系的相互转换关系,测站点相应的协因数阵为:

为了评价定位结果的精度,除了估算每个未知参数的精度(方差)以外,在GPS 应用中 还经常采用精度因子DOP(Dilution of Precision)来评价精度。精度因子又称为精度衰减因 子或精度弥散。在生产实践中,根据不同的精度评价模型采用不同的精度因子。通常有:
1.水平精度因子(HDOP—Horizontal DOP)

描述测站点平面位置精度,相应的水平位置中误差为:

2. 垂精度因子(VDOP—Vertical DOP)

描述测站点高程精度,相应的高程中误差为:

3.空间精度因子(PDOP—Position DOP)

描述测站点三维位置精度,相应的中误差为:

4. 接收机钟差精度因子(TDOP—Time DOP)

描述钟差精度,相应的中误差为:

5. 几何精度因子(GDOP—Geometric DOP)

描述空间位置误差和时间误差综合影响的精度,相应的中误差为:

需要指出的是,精度因子与前面所介绍的未知参数的验后方差不同,它可以是先验的。 也就是说,在观测数据处理之前,就可根据各项精度因子的大小,获知测站点预期的精度指 标。这一点对提前制定观测计划,避免不良观测时段以及在观测过程中保障观测精度都有很 大帮助。
尊敬的访客:如果您想了解或购买GPS定位 防盗产品,请点击下方按钮联系我们

您也可以直接拨打客服热线:4007-888-200
推荐阅读:
GPS应用于大型设备的超精密安装
GPS定位技术在精密工程测量中的应用
GPS定位技术在普通工程测量中的应用
GPS技术在工程测量中的应用
GPS定位在大地(控制)测量方面的应用



