GPS法方程的组成及其解算
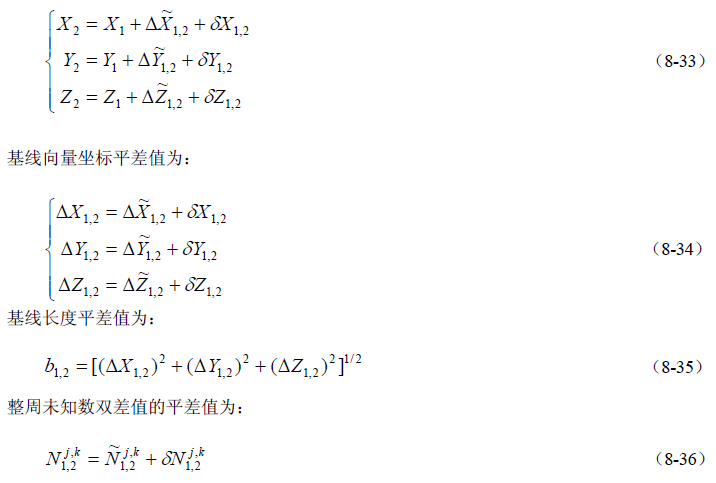
我们用误差方程式(8-22)来组成法方程式。假设在测站1 和2 同步观测了SV 个卫星(SV≥4),则可列出(SV-1)个误差方程,并相应引入SV-1 个整周未知数的改正数,再加上基线向量的3 个坐标改正数,共有SV+2 个未知数。若测站1 和2 同步观测了n 个历元,则总共有m=n(SV-1)个误差方程式。将全部误差方程式写成矩阵形式为:


尊敬的访客:如果您想了解或购买GPS定位 防盗产品,请点击下方按钮联系我们

您也可以直接拨打客服热线:4007-888-200
推荐阅读:
GPS应用于大型设备的超精密安装
GPS定位技术在精密工程测量中的应用
GPS定位技术在普通工程测量中的应用
GPS技术在工程测量中的应用
GPS定位在大地(控制)测量方面的应用



