GPS卫星网与经典地面控制网的三维联合平差
这里所指的三维联合平差,是以卫星网的基线向量平差值和经典地面控制网的原始观测 值(如方向观测值和边长观测值等)为根据,联合组成误差方程,并在顾及两网观测值的权 重比(即可靠地确定两网的方差与协方差阵)和两网之间的转换模型的情况下,建立并解算 法方程式的过程。
卫星网与地面网之间的转换模型,是两网平差时建立误差方程式的依据;两网的方差与 协方差模型,是两网联合平差可靠性的依据。而网的方差与协方差模型又与网的基准密切相 关。因此,选择适宜的转换模型和正确确定网的基准,对于联合平差是极其重要的。
由于以地面网原始观测量为根据的联合平差,其数据量很大,平差处理也比较复杂,因 此,这种平差方法除非在原始地面网平差不合理或存在较大系统误差(例如有些地面小网用 观测太阳确定方位)的情况下,一般都不采用。
采用这种平差时,GPS 基线向量观测值的误差方程及条件方程与三维约束平差相同。这 里仅写出地面网观测值的误差方程。
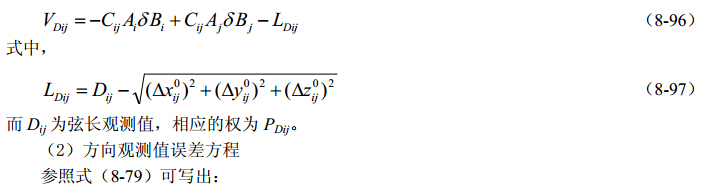
(1)空间弦长观测值误差方程
参照式(8-77)可写出:


三维联合平差的法方程的组成与解算,是采用附有条件的相关间接平差方法进行的,可 参见三维约束平差。
尊敬的访客:如果您想了解或购买GPS定位 防盗产品,请点击下方按钮联系我们

您也可以直接拨打客服热线:4007-888-200
推荐阅读:
GPS应用于大型设备的超精密安装
GPS定位技术在精密工程测量中的应用
GPS定位技术在普通工程测量中的应用
GPS技术在工程测量中的应用
GPS定位在大地(控制)测量方面的应用



