GPS定位系统之地球引力摄动位(扰动位)
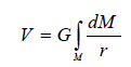
地球引力场可以用引力位函数描述,(3-22)式描述的就是理想的匀质球体形成的引力场, 即中心引力场。而对于真实的地球引力场,其位函数可以表示为:

实际上,由于地球真实引力分布的复杂性,该积分式很难用一个简单函数表达。根据球 函数的知识,地球引力位函数可以用球谐函数的级数展开式来表达。即:

式中,GM 为引力常数和地球质量的乘积; a 为地球椭球长半径;

从(3-26)式中可以看出,等式右边第一项显然就是中心引力的位函数。在第二项中, 向径r 处于分母位置,所以,随着卫星高度升高,非球形引力的影响将迅速减小。另外,对 于GPS 这样的高轨卫星而言,只需要应用展开式中较少项数,高阶项的影响可以忽略不计。 如果令

那么,T 就是地球引力扰动位(Disturbing Geopotential)。
(整理编辑:锐峰汇智GPS定位器 https://www.rfgsm.com/)
尊敬的访客:如果您想了解或购买GPS定位 防盗产品,请点击下方按钮联系我们

您也可以直接拨打客服热线:4007-888-200
推荐阅读:
GPS应用于大型设备的超精密安装
GPS定位技术在精密工程测量中的应用
GPS定位技术在普通工程测量中的应用
GPS技术在工程测量中的应用
GPS定位在大地(控制)测量方面的应用



