位理论-GPS定位卫星的受摄运动
卫星在摄动力的作用下,它的运动将偏离开普勒轨道。研究表明,仅非球形引力摄动这 一项,就可能使GPS 卫星在3hr 的弧段上,偏离无摄轨道达2km。显然,这样的轨道摄动对 任何用途的定位工作都是不容忽视的。因此,必须建立适当的轨道摄动模型,以便对开普勒 轨道进行修正,满足精密定位的要求。
引力函数
如图3-5 所示,如果把地球看作质量为M 的一个质点,把卫星看作一个单位质点,则该 单位质点所受到的引力作用为
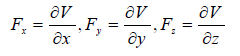
这时引力在3 个坐标轴上的分量分别为:

设有一个标量函数

其中,G 表示引力常数,r 表示卫星到地心距离。容易验证,该函数对坐标轴X、Y、Z 的偏 导数,等于引力在3 个坐标轴上的分量。即:

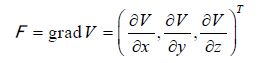
用向量形式表达,就是:

式中,标量函数V 称为引力位函数,简称引力位。该函数满足拉普拉斯方程,属于调和函数。 gradV 是引力位的梯度(Gradient),在惯性坐标系中,它等于引力向量F。 位函数作为一个标量函数,它的引入,给研究卫星摄动运动带来了方便。但用位函数来 描述一个力场,仅适合于保守力的范畴,对于非保守力则其位函数不是调和函数。
编辑整理:锐峰汇智GPS定位器 https://www.rfgsm.com/
尊敬的访客:如果您想了解或购买GPS定位 防盗产品,请点击下方按钮联系我们

您也可以直接拨打客服热线:4007-888-200
推荐阅读:
GPS定位技术在精密工程测量中的应用
GPS定位技术在普通工程测量中的应用
GPS定位在大地(控制)测量方面的应用
GPS技术的应用概述
GPS大地高的应用问题



