拉格朗日行星运动方程
前面已经提到,如果在摄动力属于保守力,则存在位函数。这时,假设摄动位函数为R, 结合式(3-24)和(3-29)可知,卫星运动的微分方程为:

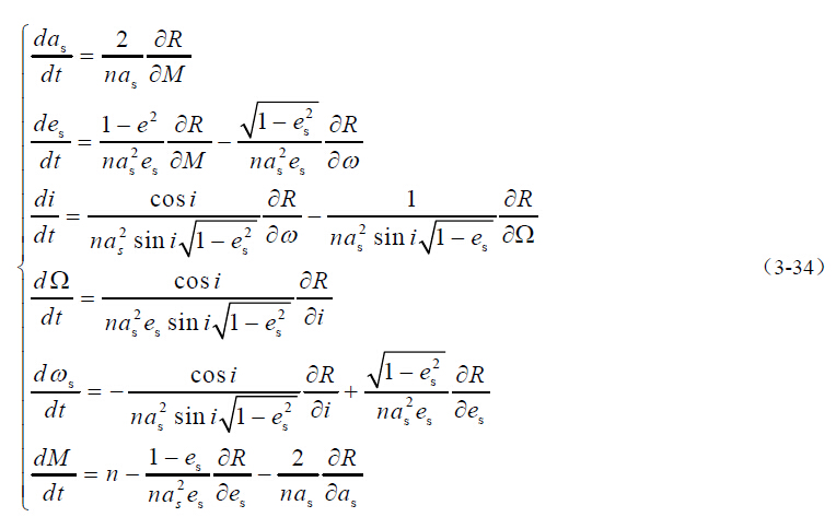
由此,可导出受摄轨道根数与摄动位的关系式,即密切轨道根数表示的受摄运动方程:

该方程称为拉格朗日行星运动方程,或者叫拉格朗日受摄运动方程(Lagrange’s Perturbation Equations)。显然,只要将任何摄动位R 代入等式右端,就可以研究卫星在该摄动力作用下 的运动状况。
(文章编辑整理:锐峰汇智GPS定位器https://www.rfgsm.com/ )
尊敬的访客:如果您想了解或购买GPS定位 防盗产品,请点击下方按钮联系我们

您也可以直接拨打客服热线:4007-888-200
推荐阅读:
地图投影-克吕格平面直角坐标系
北斗导航系统
GPS定位系统的由来



