GPS定位信号脉冲法测距

脉冲法测距的基本原理如图4-1 所示。将脉冲发生器(Pulser)的光脉冲以调幅方式调制在光波(如激光)上,经过调制以后这一光脉冲分成两个部分,一部分直接进入接受光学系统,经由光电元件转化为电脉冲,作为参考脉冲(Reference Pulse),也称主波脉冲;另一部分发射以后经由被测目标反射进入接收光学系统,再经由光电元件转化为电脉冲,成为反射脉冲(Received Pulse),也叫回波脉冲。由此,只要确定参考脉冲和反射脉冲之间的时间差Δt 就可以确定距离。
测定时间差Δt 的方式如图4-1 所示。时标振荡器能产生稳定频率的电脉冲,称为时标脉冲(Clock Pulse),或称钟脉冲。在测距之前,门电路(Gate Circuit)是关闭的,时标脉冲不能通过门电路进入脉冲计数器(Pulse Counter)。测距时,光脉冲发射的一瞬间,主波脉冲把门电路“打开”,时标脉冲通过门电路进入脉冲计数器,脉冲计数器开始计数。当回波脉冲经由被测目标反射回测距仪时,又把门电路“关闭”,脉冲计数器停止计数。主波脉冲触发时标脉冲的前沿,而回波脉冲触发时标脉冲的后沿。假设这期间有n 个脉冲进入脉冲计数器,每个脉冲的时间间隔为T,则有:

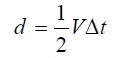
这时,如有了信号传播时间,就可以得出待定距离为:

其中d 表示被测距离,V 表示光速。
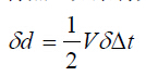
脉冲式测距仪一般采用固体激光器作为光源,它的高功率光脉冲使得该种测距仪可以不需要合作目标,直接利用被测目标对光脉冲的漫反射进行测距。它具有使用方便、作业效率高等特点。如果将光速V 视作常数,将(4-2)式对Δt 进行微分,可得有限增量式:

由该式可知,欲使测距误差δd≤1cm,则需要δΔt≤10-10s,计数器达到这样的计时精度是相当困难的。由于计数器时间分辨率的限制,过去脉冲式测距仪的精度往往都比较低,约为每公里1~5m。20 世纪80 年代以来,随着锁模激光(Modelocked Laser)等新技术的问世,脉冲式测距仪的精度有了较大提高,某些型号的测距仪(如DI 3000 等)其精度已经趋近毫米级水平,与相位式测距仪基本相当。
内容编辑:锐峰汇智GPS定位器 https://www.rfgsm.com/
尊敬的访客:如果您想了解或购买GPS定位 防盗产品,请点击下方按钮联系我们

您也可以直接拨打客服热线:4007-888-200
推荐阅读:
GPS应用于大型设备的超精密安装
GPS定位技术在精密工程测量中的应用
GPS定位技术在普通工程测量中的应用
GPS技术在工程测量中的应用
GPS定位在大地(控制)测量方面的应用



