GPS定位的测距码信号
前面已经提到,GPS的测距码(Ranging Code)共有两种,分别是C/A 码(粗码) 和P 码(精码),皆属伪随机噪声码。为了便于理解测距码的测距原理,下面先来谈谈伪随机 噪声码的有关知识。
伪随机噪声码
为了表达各种不同信息,在现代数字通信中,广泛采用二进制数及其组合。这种表达不 同信息的二进制数组合,就称为码(Code)。将文字,图象、声音等信息,按照一定规则, 表示为二进制数组合,这个过程叫编码(Coding)。通过编码可以将各种信息转变为相应的文 本、栅格图象、矢量图形、音频、视频等具有固定格式,便于存储、编辑、传播和显示输出 的数字信息集合。同一个对象(或现象),在不同的应用中,其编码的规则也有所不同。 一位二进制数称为一个比特(bit)或一个码元。在信息传播的过程中,每秒传输的比特数 称为比特率,单位是bit/s,或者用bps(bit per second)表示。比特和比特率都是码的基本单位。
码是一组二进制数组合的数字序列,它可以表达为取值 0 或1 的时间的函数u(t)。如 果假设一组码序列u(t),对于任何时刻来说,码元为0 或1 完全是随机的,概率均为1/2。 这种完全无规律的码序列就称为随机噪声码(Random Noice)。这种不可复制的、非周期性 的码序列具有良好的自相关性。
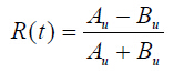
为了说明随机噪声码的自相关性,现将随机码序列u(t)平移k 个码元,由此获得一个新 的随机序列u(t) ) 。如果在两个码序列对应码元中,相同的码元个数为Au,不同的码元个数为 Bu,则随机码序列u(t)的自相关系数(Related Function)R(t)为:
显然,当k=0 时,也就是不平移时,这时相应的码元完全对齐,即Bu=0,R(t)=1; 当k≠0 时,如果码元数充分大,便有Au≈Bu,这时R(t)≈0。由此可知,只要观察自相关系 数R(t)的取值,即可判断两个随机码序列是否已经对齐。
根据以上论述,假如GPS 卫星发射一组随机噪声序列u(t),而与此同时GPS 接收机也复 制出一组结构与之完全相同的随机噪声序列u(t) ) 。由于信号在传播路径上的时间延迟(Time delays),两组随机噪声序列 u(t)与u(t) ) 之间产生平移,假设错开了k 个码元,这时R(t)≈0。 如果通过一个延迟器调整u(t) ) ,使之与u(t)完全对齐,相关系数达到最大,即R(t)=1,这 时就可以根据平移量k 推算信号在传播路径上耗费的时间,进而转化为GPS 卫星到测站的距 离。这就是GPS 测距码实现测距的基本原理。码序列的相关性原理,不但可以应用于GPS 测距中,还在数字摄影测量、计算机视觉、数字通讯等领域有着广泛应用。
内容编辑:锐峰汇智 https://www.rfgsm.com/
尊敬的访客:如果您想了解或购买GPS定位 防盗产品,请点击下方按钮联系我们

您也可以直接拨打客服热线:4007-888-200
推荐阅读:
GPS应用于大型设备的超精密安装
GPS定位技术在精密工程测量中的应用
GPS定位技术在普通工程测量中的应用
GPS技术在工程测量中的应用
GPS定位在大地(控制)测量方面的应用



